值得信赖的区块链资讯!
Polymarket LP做市激励:4重真相与费用陷阱大揭秘
作者|shtanga0x(@shtanga0x)
翻译|Wenser(@wenser2010)
原标题:Polymarket LP做市激励背后的4重真相与费用陷阱

编者按:近期,X 平台时间线上,Polymarket 针对 NCAA“疯狂三月”的 LP 激励相关帖子几乎刷屏了。与此同时,Polymarket 官方成员透露将于下周一公布重大消息,社区猜测或为融资或发币信息。
在美 SEC 与 CFTC 通过五分法扫清加密平台空投障碍之后,POLY 成为无数人眼中“最后的撸毛希望”,而 LP 做市或将成为空投关键指标之一。
有鉴于此,Odaily星球日报将借 2 位分析师关于 LP 做市激励的正反观点,为 Polymarket 用户提供更全面的视角。以下为编译内容,部分信息有删改。
正面观点:Polymarket LP 激励计划背后的 4 大分类
近期,Polymarket 激励机制进行了低调升级,其重心转向了流动性提供者(LP)。过去几年,该平台一直实行“零交易费”策略,但自今年年初,其悄然引入特定押注事件的手续费,同时推出两大做市商奖励计划。
表面上看,交易费收取好像对交易用户不利,但实际上,这是在解决预测市场最核心的结构性痛点——流动性难题。
新的收费结构旨在资助激励项目,奖励提供限价单并保持订单深度的用户。因此,Polymarket 及其用户都受益于:更窄的利差、更丰富的订单簿以及更好的交易体验——尤其是在高频加密市场中。
而其推动路径也极为清晰,呈现从单一到多元的趋势:
- 2026 年 1 月:15 分钟 Crypto 市场
- 2026 年 2 月:扩展至 5 分钟 Crypto 市场 + NCAAB 大学篮球 + 意甲联赛
- 2026 年 3 月 6 日:扩展到所有 Crypto 市场(涵盖 1H、4H、日线、周线等事件)
基于以上信息,本文将详细说明新的费用和奖励系统如何运作——以及为何支付的费用+赚取的奖励可能会成为 POLY 空投中潜在的反女巫指标。这不是简单的货币化操作,而是 Polymarket 在用行动告诉大家:它真正想要的是流动性,而非刷量机器人。
Part I. 新吃单费机制全解析
绝大部分 Polymarket 市场依然完全免费。存款、提现和交易(绝大多数事件市场)依然零平台费。
交易费用目前只针对吃单(taker order)一方,覆盖三类市场:
- 所有 Crypto 涨跌市场(15min、5min、1H、4H、日、周等)
- NCAAB(美国大学篮球联赛)
- Serie A(意甲足球)
重点在于,吃单费用只对费用激活日期后创建的市场生效,此前的已有押注事件不受影响。
费用公式统一(其中,C=交易筹码数量,p=筹码价格/市场概率,费用四舍五入至小数点后 4 位,最低费用为0.0001 USDC):

有效费用率遵循对称概率曲线:
- 概率接近 50%(结果不确定性最高)时,费用最高;
- 概率接近 0 或 1 时(结果确定性较高),费用接近 0。
举例而言,以一笔 100 美元的 Crypto 市场交易来说,
- p=0.50 → 交易费用(fee)约 0.44 美元;
- p=0.10 或 0.90 → 交易费用(fee)约 0.02 美元。
体育事件的概率曲线类似,但中点(概率在 50%左右)费用略高,收费方向具体为:
- 买入:费用从筹码份额里扣除;
- 卖出:费用从 USDC 资金里扣除;
- 做市激励以 USDC 的形式支付。
值得一提的是,Polymarket 平台并不保留全部费用池,固定比例的手续费(Crypto 市场的 20%、体育押注事件的 25%)直接返还给 LP。(注:Polymarket 美国合规平台采用简单的 0.01%固定收费。本分析仅讨论全球 CLOB 平台,该平台引入了 2026 年新的收费体系。)
Part II. 做市商激励计划(限价单执行奖励)
该部分的激励仅覆盖已收取吃单费的市场。这意味着,只有被交易者吃掉的限价单才能拿到对应奖励,单纯挂单不成交不算。
奖励金额的计算方式与吃单者费用相同。每位参与者的奖励与其交易量成比例,总奖金池由部分收取的费用组成(Crypto 市场的 20%、体育押注事件的 25%)。
竞争仅发生在特定押注事件,LP 挂单仅与同一流动性池的其他 LP 竞争。
每日激励均以 USDC 直接发送至对应钱包地址。
Part III. 流动性激励(闲置订单激励)
第二套激励系统由 Polymarket 平台提供,适用于所有押注事件(包括不收取手续费的押注事件)。
核心区别在于:不需要订单成交,只要挂在订单簿上提供流动性就能赚钱。
每个押注事件都定义了若干决定资格的参数:
- 最大激励价差(例如±4 美分)
- 最小挂单量
- 每日总奖励池
平台对订单簿进行每分钟采样,一周记录 10080 次快照。
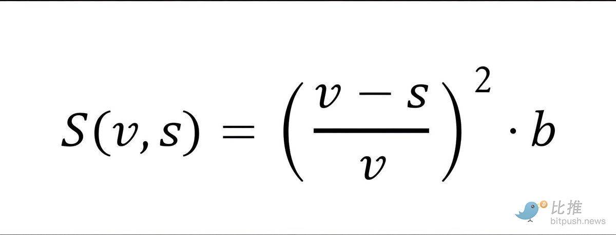
奖励计算公式超级细节:
1.距离分数(二次方程)
其中,
V- 最大激励利差
s- 距离中点的距离
接近中点的订单得分呈指数级增高。

2.双边分数(YES/NO 互补结构)
买卖投标单(bid)和询价单(ask)分别计算得分 ,考虑了 Yes/No 市场的互补结构。

3.Q 值最小化调整
在订单簿两端提供流动性的押注事件得分更高。
单边报价会受到惩罚,除非市场概率接近 0 或 1。

4.最终得分
所有 LP 分数都会被归一化并随时间汇总,以确定每个参与者在市场奖励池中的比例份额。
奖励将在 UTC 时间午夜发放 USDC,最低 1 美元起付。

目前可在 polymarket.com/rewards 实时查看活跃奖励押注事件和个人收益。激励利差范围在订单簿界面以蓝色高亮显示,用户也可以查看Polymarket 官方文档。
目前,单向订单仍能获得积分(但大打折扣),而双向报价则优先得到激励积分。奖励会根据每个单独的押注事件单独计算。没有跨事件计算。实际上,该系统奖励在市场中点附近保持紧密利差和平衡流动性的交易者 ,提升所有用户的交易体验。
Part IV. 赞助 LP 激励
第三种机制,任何人都可以用 USDC 直接给特定市场加 LP 激励,吸引 LP 进来做市。赞助者可随时投入或撤出资金,未消耗的资金将自动退回。
该机制的规则和流动性激励计划完全一致——只需挂单即可,无需成交。

典型案例如“耶稣基督 2027 年前会回来吗?”这一押注事件,某平台用户 2 月砸了 7 万美元作为 LP 激励,现在每天还能得到 57 美元左右的流动性激励,这也使得该事件直接成为平台深度最好的押注事件之一。这套机制让社区自己就能深度促活任何押注事件的市场流动性,不用等 polymarket 官方出手。
Part V. POLY 空投的最强反女巫指标
乍一看,Polymarket 似乎只是需要更多的交易者。
然而,如果大多数用户仅依赖市价单,平台很快就会面临流动性问题。
Polymarket 不依赖中心化做市商,因此如果限价单不足,订单簿就会变得稀少。
在这种情况下,买入、卖出或执行大单时很难避免滑点过高,手续费骤增。
Polymarket 不需要刷量机器人,它需要真正提供价值的 LP。
以前大家只盯着交易量刷,以为交易量大才是获取空投的关键。然而,新的收费结构和奖励计划暗示了不同的激励模式——重要的不仅仅是交易量,而是在产生费用且需要流动性的押注事件中的参与活动。换句话说,平台奖励的是有针对性的 LP ,而不仅仅是被动限价单。

奖励分配公式有效地揭示了 Polymarket 最看重的流动性类型。 评分系统评估:
- 订单与中点的接近程度
- 订单规模
- 买价与卖价之间的平衡
因此,奖励成为衡量交易者流动性对平台价值的直接衡量标准。如果交易者持续获得奖励,说明他们的订单正在积极提升市场流动性和执行质量。以下是市场参与者获得潜在激励的示例:
- 北极海冰面积今年冬天会达到最大值吗?——已存在 3 个月,交易量不足 2 万美元,流动性奖励仅为 9 美元;
- 比特币会在三月达到 75,000 美元吗?——已经存在了两周,交易量达 300 万美元,流动性奖励为 142 美元;
- 比特币涨跌 – 15 分钟——涵盖数百个押注事件,日交易额数百万美元,日均手续费约 1 万美元,流动性奖励 2000 美元。
相较于具体的押注事件,数据所揭示的真相更为关键——与简单的交易量指标相比,吃单费用以及获得的流动性奖励更难人为操纵。系统性地赚取做市激励需要资金、风险管理和持续在场,这大大削弱了撸毛党的优势,反而有利于真正的市场参与者。
结论:吃单费和 LP 激励或成 POLY 空投关键指标
未来的 POLY 代币分配不仅取决于交易量,更有可能取决于支付的吃单费用和获得的 LP 奖励。这些指标透明、可衡量,并且与平台需求高度契合。在该模型中,奖励不与刷交易量挂钩,而是与真正优化平台交易体验的贡献挂钩:流动性、稳定性和高效的价格发现。
换言之,谁是表现最好的 LP ,谁就是最有价值的用户。最硬核的 Polymarket 玩家,从来不是交易量最大的那个,而是把订单簿的流动性养得最深的 LP。
另附 Polymarket LP 做市攻略:《现在就是交互 Polymarket 的最佳时机(附独家教程攻略)》
当然,市场上总是存在不同观点,也有人认为 Polymarket 推出的 LP 激励计划看似是“撒钱换流动性”,但其实是借此牟利,是给 LP 用户设下的陷阱。我们来听听反面观点。
反面观点:Polymarket LP 激励或为平台骗局?LP 实为“拿钱亏本”陷阱?
针对 Polymarket 近期推出的 LP 激励计划,套利交易员、Polymarket/Kalshi bot 玩家securezer0直接把目前圈内很多 KOL 狂吹的“Polymarket Rewards Farming”称为巨型心理战,直指这是一场由平台直接买单或重度激励 KOL 炮制的集体造势。
LP 的真相:另外一种形式的“付费亏钱”?
多位 LP 直言:当前 Polymarket 的 LP 机制,本质上是“花钱换亏本”。
问题出在哪?排行榜将 LP 奖励直接计入盈亏数据展示,却对一个关键概念只字不提——LP 磨损。
当你的仓位被单边成交后,往往无法以合理价格出售,或在押注事件结算前根本卖不出去,这部分资金损失被平台系统性地掩盖了。真实的 ROI 数据远低于账面数字,对大多数 LP 参与者而言,其实盈利是负的。他们只是相信 POLY 空投能覆盖亏损——这不是一场套利激励计划,而是一场平台信仰交易。
专业做市商为什么不愿进场?
专业做市商对 Polymarket LP 做市普遍持回避态度,核心原因只有一个:内幕交易风险真实存在。
Polymarket 和 Kalshi 都不得不以股权换流动性,才能让专业做市商愿意坐上桌——这本身就说明了问题。
有效的 LP 运营是一套极度复杂的自动化风控体系。那种”低门槛、高回报”的 LP 神话,只有在 Polymarket 持续砸重金补贴流动性奖励的前提下才成立——而这条路,长期来看根本不可持续。
平台真实困境:每天需要凭空“变”出数百万美元
流动性不足,是 Polymarket 正在逐步开启收费开关的第一驱动力。
为了维持各类押注事件的流动性奖励、让更多 USDC 流动性留在平台,Polymarket 每天需要消耗数百万美元维持交易深度。若找不到更优解,平台别无选择,只能对每一笔买卖收取手续费,用这部分收入来养活投资人和做市商。
而一旦全面开征手续费,普通用户的处境将极为尴尬——因为这样的话,传统体育竞猜平台或许反而更划算,原因在于:
- 综合费率后赔率相当;
- 传统平台还有返现和现金激励;
- 规则清晰,受监管保护;
- 内幕交易者会被封号乃至有入狱风险。
真正可行的 3 大解法:固定手续费、POLY 流动性池、扩展产品收费
与其饮鸩止渴,不如从根上动刀:向吸血鬼开刀,而非向用户收割。对那些从真实用户身上抽取 USDC 的套利机器人收取手续费。毕竟,这些 bot 才是污染流动性的源头。具体而言,有以下方法:
只对利润征收 1%的固定手续费,即仅针对卖出价减去本金的净收益部分收费,不动本金,不伤害用户交易体验。
用 POLY 代币构建原生流动性池。以协议级方式程序化地为各个押注事件提供流动性,将代币经济与流动性供给深度绑定。
在扩展产品上收费,而非核心产品。串关、衍生品、杠杆——这些是天然的收费场景,动这里不会伤及用户体验的根本。
目前来看,Polymarket 平台业务的护城河仍然有待加强。零手续费与更优赔率,是它区别于传统竞猜平台最重要的价值锚点。为了短期收入放弃这两点,无异于自毁长城。
Twitter:https://twitter.com/BitpushNewsCN
比推 TG 交流群:https://t.me/BitPushCommunity
比推 TG 订阅: https://t.me/bitpush
比推快讯
更多 >>- 麻吉再度充值近 25 万美元,重启多单加仓
- BitMine 上周增持 65,341 枚 ETH,持仓总量增至 466.1 万枚
- 加密行业与银行业代表本周将前往国会山审议稳定币收益相关立法文本
- 特朗普:伊朗正在发生的事情可以被描述为政权更迭
- 特朗普示好,伊朗否认,标普 500 指数 1 小时内波动 3 万亿美元
- Polymarket“美伊将于 3 月 31 日前停火”概率短时升至 54%,后回落至 16%
- 数据:CoinShares:数字资产投资产品上周净流入放缓至 2.3 亿美元
- AI 初创公司 Interloom 完成 1650 万美元融资,DN Capital 领投
- 伊朗外交部:特朗普在为军事计划争取时间
- Strategy 上周再度增持 1,031 枚比特币,目前共持有 762,099 枚
- Strategy 再以约 74326 美元均价购入 1031 枚 BTC,总持仓升至 762099 枚
- 以色列军方:正在对德黑兰市中心实施空袭
- 伊朗高级官员:霍尔木兹海峡局势不会因“心理战”恢复到战前状态
- 伊朗否认与特朗普和谈,市场回吐部分涨幅
- 伊朗高级安全官员:特朗普相关言论为“心理战”
- Ledger 联创遭绑架案告破,西班牙警方逮捕最后一名在逃嫌疑人
- Core Scientific 宣布获得摩根大通追加 5 亿美元融资承诺
- 易理华:特朗普释放信号影响市场,但短期冲突难结束
- 特朗普言论引发油价短时暴跌 14%
- 伊朗媒体:没有与特朗普进行任何直接或间接的接触
- 股神特朗普又双叒操盘,48 小时截止时间前放软话
- 伊朗驻阿富汗大使馆:特朗普已放弃袭击能源基础设施计划
- 特朗普放软话后,有船只开始通过霍尔木兹海峡
- 门头沟 Mt. Gox 今日转移价值 500 美元比特币,为其 4 个月来首次操作
- 美国 10 年期国债收益率下跌 8.4 个基点,报 4.307%
- SEC 与 CFTC 发布新规,释放三种无需代币销售的合规募资模型
- 麻吉大哥再次滚仓开多 ETH
- 麻吉紧急再做多,ETH 多单已加仓至 242 万美元
- Gate 打通股指非交易时段交易窗口,指数合约活跃度领跑市场
- edgex 将于 3 月 31 日进行 TGE 及上币
- 原油短时跌破 83 美元,日内跌幅逾 13%
- 欧股持续拉升,欧洲斯托克 50 指数涨 3.51%
- James Wynn BTC 空单被全额强平
- 受特朗普讲话影响,现货黄金短线回弹超 100 美元
- James Wynn 的比特币空单被完全清算
- 美伊于 3 月底前停火概率短时飙升至 27%
- 美元兑日元短线走低 140 点,现报 158.41
- 欧股反弹,德国 DAX 和法国 CAC 40 指数涨超 2%
- 特朗普:将针对伊朗的军事打击推迟五天
- 美国标普 500 指数期货上涨 1.9%,纳斯达克 100 上涨 1.67%
- 据比推数据,ETH现报2149.63美元,10分钟涨幅为5.3%,价格波动较大,请谨慎交易,控制风险。
- 特朗普:美国和伊朗在过去两天进行了非常良好和富有成效的对话
- 比特币快速突破 7 万美元,近 1 小时涨幅达 3.27%
- 图解 Visa 合作的 18 家 Web3 供应商:从基础设施到支付闭环
- BTC 突破 69000 USDT,24H 涨幅 0.59%
- BTC OG 内幕巨鲸代理人提示市场未定价的新风险:食品通胀
- 伊朗否认向霍尔木兹海峡过往船只收取高额费用
- 周末主流 Perp DEX 一览:各平台交易量全线降温,Hyperliquid 持仓量小幅收缩
- 伯恩斯坦:随着智能代理支付兴起,Circle 和 Coinbase 成为受益于稳定币增长最佳代表标的
- 国家数据局局长:中国日均 Token 调用量两年增超千倍,已突破 140 万亿
比推专栏
更多 >>观点
比推热门文章
- 特朗普:伊朗正在发生的事情可以被描述为政权更迭
- 特朗普示好,伊朗否认,标普 500 指数 1 小时内波动 3 万亿美元
- Polymarket“美伊将于 3 月 31 日前停火”概率短时升至 54%,后回落至 16%
- 数据:CoinShares:数字资产投资产品上周净流入放缓至 2.3 亿美元
- AI 初创公司 Interloom 完成 1650 万美元融资,DN Capital 领投
- 伊朗外交部:特朗普在为军事计划争取时间
- Strategy 上周再度增持 1,031 枚比特币,目前共持有 762,099 枚
- Strategy 再以约 74326 美元均价购入 1031 枚 BTC,总持仓升至 762099 枚
- 以色列军方:正在对德黑兰市中心实施空袭
- 伊朗高级官员:霍尔木兹海峡局势不会因“心理战”恢复到战前状态
比推 APP



